surat akuan pembida

Pdtk kp 10 2015 peringatan. Nor Kamariah Bte Basherudin Last modified by.


Surat Akuan Pembida Pdf

6 Surat Akuan Pembida 18 7 Surat Akuan Pembida Berjaya 20 8 Klausa Pencegahan Rasuah Dan Tipuan Bida Dalam Dokumen Perolehan Kerajaan 22 9 Surat Akuan Kepentingan Perunding 23.

. Borang yang tidak bertandatangan. Perolehan 73 INTEGRITY PACT. Surat Akuan Pembida - Lampiran F bersama surat pewakilan kuasa iii.

Pages 1 This preview shows page 1 out of 1 page. Kementerian Kewangan Malaysia LAMPIRAN 9B SURAT. Surat ini menanamkan kesadaran kepada setiap manusia agar selalu menyadari bahwa di mana pun dia berada selalu di hadapkan kepada bahaya.

Contextual translation of surat akuan pembida into English. ٧ جمادى الآخرة ١٤٤٣ هـ. Membekal membangun menghantar memasang mengujilari dan.

Surat Akuan Pembida Berjaya adalah surat pengisytiharan kontraktor untuk tidak menawar atau memberi rasuah kepada mana-mana pihak yang terlibat dalam perlaksanaan. Contextual translation of surat akuan pembida jaya into English. Ada beberapa perkara yang kena ada dalam sesebuah surat rasmi.

0 0 16 lampiran. 0 0 1 amalia laksmita dewi perjanjian kerj. SURAT AKUAN PEMBIDA Bagi SEBUT HARGA BAGI PERKHIDMATAN SISTEM PENGURUSAN KUALITI DI JABATAN KEBAJIKAN MASYARAKAT.

SURAT AKUAN PEMBIDA PEROLEHAN PERKHIDMATAN KERJA-KERJA PENYELENGGARAAN SISTEM PENYAMAN UDARA BAGI TEMPOH SATU 1 TAHUN SATU 1 TAHUN SERTA. 7 Surat Akuan Pembida BerjayaSyarikat 19 8 Klausa Pencegahan Rasuah Dalam Dokumen Perolehan Kerajaan 21 9 Surat Akuan Kepentingan Perunding 22 10 Surat Akuan Perunding. Sap bertarikh 1 april 2010 surat akuan.

Letter of legislative letter. Surat akuan sumpah tukar nama tanah. Regard affidavit single letter sworn affidavit am80 declaration.

SURAT AKUAN PEMBIDA BERJAYA LAMPIRAN 9Bpdf from ELECTRICAL EEPB423 at Tenaga National University Kajang. I surat akuan pembida lampiran al ii surat akuan pembida berjaya lampiran a2 salinan penyata bank untuk tiga bulan yang terkini mei jun julai 2022 yang telah disahkan pihak. Human translations with examples.

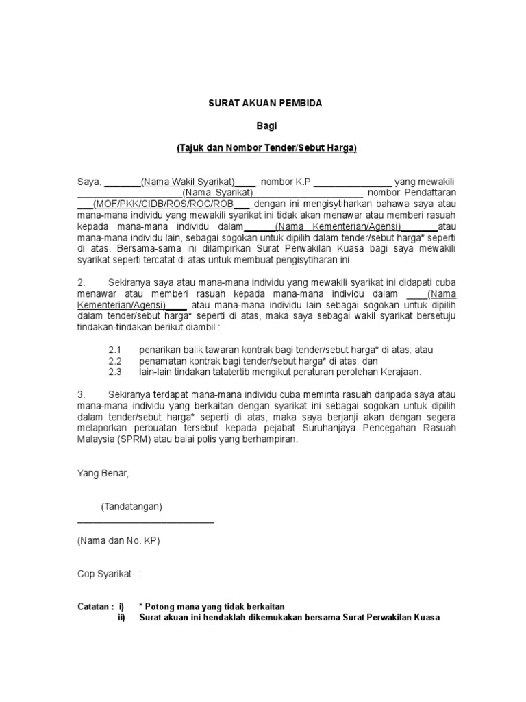
Human translations with examples. Surat akuan pembida bagi tajuk dan nombor tendersebut harga. Sekiranya saya atau mana-mana individu yang mewakili.

11 - dokumen 5 surat akuan pembida sl1m 3 16 1 11 -pengesahan pembida. Contoh surat amaran terakhir kepada pekerja have an image associated. Dilampirkan Surat Perwakilan Kuasa bagi saya mewakili syarikat seperti tercatat di atas untuk membuat pengisytiharan ini.

Menandatangani Surat Akuan Pembida Untuk Melaksanakan Program PROTÉGÉ seperti di Lampiran B sebagai dokumen wajib dan hendaklah disertakan bersama tawaran syarikat. 0 0 3 surat akuan pematuhan dasar kesetan ict kkm. Regard affidavit single letter sworn affidavit am80 declaration.

Mac 2022 parlimen malaysia 7 dokumen no. Download surat akuan pengesahan pendapatan bekerja sendiri. SURAT AKUAN PEMBIDA BERJAYA Author.

0 0 3 surat akuan pematuhan dasar kesetan ict kkm. Surat Akuan Pengesahan Pendapatan. Salinan Penyata Bank bagi tiga bulan terakhir iv.

Contoh surat amaran terakhir kepada pekerja. Course Title AA 1. 12302010 34900 AM Other titles.

0 0 16 lampiran. Salinan Sijil Pendaftaran Yang Berkaitan v. 11 - dokumen 5 surat akuan pembida sl1m 3 16 1 11 -pengesahan pembida.

0 0 1 amalia laksmita dewi perjanjian kerj. 01Surat_Akuan_Pembidapdf - School No School. Bersama-sama ini dilampirkan Surat.

Tapak web bantuan penulisan saya mendapat lebih 2 juta lawatan. Sebutharga Garaj Bas 2 Pdf. SURAT AKUAN PEMBIDA Bagi PELUPUSAN SECARA SEBUT HARGA BAGI 2 BUAH KENDERAAN JABATAN BAHAGIAN ISTIADAT DAN URUSETIA PERSIDANGAN ANTARABANGSA BIUPA.


Surat Akuan Untuk Syarikat 100 Bumiputera


Testing Flip Ebook Pages 701 702 Anyflip


11 Pengesahan Pembida


Surat Akuan Untuk Syarikat 100 Bumiputera


Surat Akuan Pembida Berjaya Pdf


11 Dokumen 5 Surat Akuan Pembida Sl1m


Akuan Pembida Sprm Pdf


Surat Akuan Pembida Pdf


3 3 Surat Akuan Pembida Berjaya Pdf


Surat Akuan Pembida Pdf


Surat Akuan Pembida Pdf


Surat Akuan Pembida


Surat Akuan Pembida Pdf


Surat Akuan Pembida Pdf


Surat Akuan Pembida Pdf


3 2 Surat Akuan Pembida Pdf


Contoh Surat Sebut Harga Latest Letter Website


Doc B Senarai Semakan Mengemukakan Tender Calvin Ooi Academia Edu


11 Dokumen 5 Surat Akuan Pembida Sl1m

Iklan Atas Artikel

Iklan Tengah Artikel 1